التوزيعات متعددة المتغيرات
توزيعات متعدده متغيرات
Statistic distribution -
محيي الدين وايناخ
التوزيع المتعدِّد المتغيِّرات multivariate distribution هو مفهوم إحصائي يصف توزع احتمال عدة متغيرات عشوائية Random Variables (RVs). وتظهر التوزيعات المتعددة المتغيرات في كل تطبيقات الإحصاء والاحتمال، وهي تُعرَّف على فضاءات منتهية الأبعاد. وتَصلُح التوزيعات المتعددة المتغيرات نماذج احتمال لنواتج تجارب عشوائية غير مستقلة.
ويمكن القول إن التوزيعات المتعددة المتغيرات هي توزيعات إحصائية عيناتها أشعة. ومن أشهر هذه التوزيعات التوزيع الطبيعي المتعدد المتغيرات multivariate normal distribution. والتوزيعات المتعددة المتغيرات أداة قوية لتحليل سلوك المتغيرات العشوائية المتعددة ونمذجته.
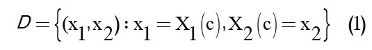
بفرض تجربة عشوائية مع فضاءالعينة C، وليكن المتغيران العشوائيان X1 و X2 بحيث يكون X1(c)=x1 و X2(c)=x2 و
؛ عند ذلك يُقال إن(X1,X2) يمثلان شعاعاً عشوائياً random vector، ويكون الفضاء (X1,X2) مجموعة من أزواج مرتبة كما هو مبيّن بالعلاقة (1).
يُطلق على D الفضاء المرافق للشعاع العشوائي (X1,X2)؛ وبفرض A مجموعة جزئية من D، أي إن Aيمثل حدثاً، ويرمز إلى احتمال الحدث A بالرمز (A)Px1x2. وحيث إن X1 و X2 متغيران عشوائيان فإن كل حدث في التقاطع
هي حوادث في فضاء العينة الأساسي C؛ ويُرمز إلى احتمال هذا الحدث بالرمز
. ويُطلق على الدالة المعطاة بالعلاقة (2) اسم دالة توزيع تراكمي مشترك joint Cumulative Distribution Function (joint CDF).
وذلك لجميع قيم
.
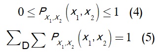
ثمة نوعان من المتغيرات العشوائية: المتقطعة discrete والمستمرة continuous. ويكون الشعاع العشوائي (X1, X2)شعاعاً عشوائياً متقطعاً إذا كان الفضاء D قابلاً للعد countable، ومن ثمَّ فإن كلاً من X1 وX2 متغير عشوائيّ متقطّع. تُعرّف دالة كتلة الاحتمال المشترك joint Probability Mass Function (joint PMF) للشعاع (X1,X2) بالعلاقة (3).
![]() |
وذلك لجميع قيم
. وكما هي الحال في المتغير العشوائي الواحد single RV فإن دالة كتلة الاحتمال PMF تحدد بشكل وحيد دالة توزيع تراكمي CDF. وتتميز دالة كتلة الاحتمال المشترك بالخاصيتين المبيّنتين بالعلاقتين (4) و(5).
![]() |
وتكون العلاقة (6) محققة لأي حدث
.
![]() |
وتُعرّف المجموعة الداعمة support للشعاع العشوائي (X1,X2) بأنها كل النقاط (x1,x2) في الفضاء D التي تحقق
.
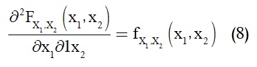
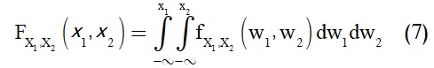
ويقال عن الشعاع العشوائي (X1,X2) إنه من النوع المستمر إذا كانت دالة توزيع تراكمي CDF له مستمرة. وتعرّف دالة توزيع تراكمي مشترك للشعاع العشوائي المستمر (X1,X2) بالعلاقة (7).
![]() |
وذلك لجميع قيم
. ويُطلق علىالدالة
اسم دالة كثافة احتمال مشترك joint Probability Density Function (joint PDF) للشعاع (X1,X2). ويمكن الحصول على هذه الدالة باستخدام العلاقة (8).
![]() |
توصَف دالة كثافة الاحتمال المشترك بالخاصيتين المبيّنتين بالعلاقتين (9) و(10).
![]() |
وتكون العلاقة (11) محققة لأي حدث
.
![]() |
تجدر الإشارة إلى أن الاحتمال
هو الحجم تحت سطح دالة كثافة الاحتمال المشترك
على المجموعة A. وتهمل عادة كتابة الدليلين X1 و X2.
ويُرمز إلى المجموعة الداعمة للشعاع العشوائي المستمر (X1,X2)؛ والتي تحوي كل النقاط (x1,x2) التي تحقق الشرط
بالرمز S. ويمكن توسيع تعريف دالة كثافة الاحتمال المشترك
لتصبح معطاة وفق العلاقة (12) عوضاً عن العلاقة (10).
|
وكذلك يمكن توسيع تعريف دالة كتلة الاحتمال المشترك
لتصبح معطاة وفق العلاقة (13).
|
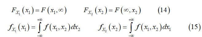
يمكن البرهان ببساطة على أن العلاقات (14) و(15) محققة.
|
تسمى الدالة fx(x) بدالة كتلة الاحتمال الهامشي marginal.
في كثير من التطبيقات ثمة حاجة إلى تحديد التوقع الرياضي mathematical expectation (أو القيمة المتوقعة expected value)؛ والقيمة المتوقعة لمتغير عشوائي هي متوسط القيم average value التي يأخذها مثقَّلة weighted بالاحتمالات المقابلة لها. ليكن (X1,X2) شعاعاً عشوائياً، و
دالة القيمة الحقيقية أي
؛ ومن ثمَّ فإن Y متغير عشوائي يُعطى التوقع الرياضي له E(Y)بالعلاقة (16):
![]() |
وعندما يكون الشعاع العشوائي متقطعاً يعطى التوقع الرياضي بالعلاقة (17):
![]() |
ويمكن البرهان على أن مؤثر operator التوقع E(.) هو معامل خطي، أي إن العلاقة (18) محققة:
حيث Y1 و Y2و k1 وk2 أعداد حقيقية، و
و
. وتكمن أهمية هذه العلاقة في إمكان إيجاد توقع المجموع بوساطة توقع كل حدّ بمفرده.
في حين يُعرّف تباين variance مجموع متغيرين عشوائيين بالعلاقة (19):
ويمثل الحد الثالث في العلاقة (19) التغاير (التباين المشترك) covariance للمتغيرين العشوائيين X وY؛ وهو يعرّف بالعلاقة
.
الدالة المولِّدة العزوم للأشعة العشوائية
بفرض الشعاع العشوائي
، إذا كان التوقع الرياضي
موجوداً في حالة
(حيث
قيم موجبة)، فإنه ُيرمز إليه بالرمز
، ويسمى الدالة المولّدة العزوم Moment-Generating Function (MGF) لشعاع X. وتُعطى هذه الدالة - بفرض
بالعلاقة (20):
ومن ثمَّ فهو مشابه تماماً للدالة المولّدة العزوم لمتغير عشوائي واحد. وتكون الدالة المولّدة العزوم للمتغير العشوائي X1 هي
، والدالة المولّدة العزوم للمتغير العشوائي X2 هي
. إن لم يحدث أي التباس فيمكن إهمال الأدلة ليكتب وفق الشكل
. ويُعرّف التوقع الرياضي لشعاع عشوائي
بالعلاقة (21):
![]() |
أي إذا وجد كل من
و
فإن
موجود.
بفرض المتغيرين العشوائيين المتقطعين X1وX2، ودالة كتلة الاحتمال Probability Mass Function (PMF) المشترك
ذات القيم الموجبة على المجموعة الداعمةS ، وقيم صفرية خارج المجموعة الداعمة. وبفرض دالتي كتلة الاحتمال الهامشية لكل من X1 وX2 هما
؛ وبفرض X1 نقطة في المجموعة الداعمة للمتغير X1، أي
؛ عندئذٍ يُطلق على الدالة
المعرّفة بالعلاقة (22) - مسمى دالة كتلة الاحتمال الشرطي (المشروط) conditional لمتغير عشوائي متقطع X2 عند
.
|
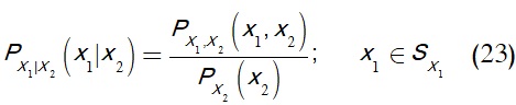
كما تُعرّف دالة كتلة الاحتمال الشرطي لـلمتغير العشوائي X1 عند
بالعلاقة (23):
|
أما في حالة المتغيرات العشوائية المستمرة، وبفرض أن دالة كثافة الاحتمال PDF المشترك هي
، وأن دالة كثافة الاحتمال الهامشي لكل من X1 وX2 هي
و
على الترتيب، وبفرض
؛ عند ذلك تُعطى دالة كثافة الاحتمال الشرطي للمتغير X1 بالعلاقة (24):
|
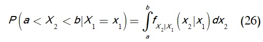
وبفرض
؛ تُعطى دالة كثافة الاحتمال الشرطي للمتغير X2 بالعلاقة (25):
![]() |
ويُطلق على الاحتمال المعرّف بالعلاقة (26) اسم الاحتمال الشرطي لـ
عند
.
|
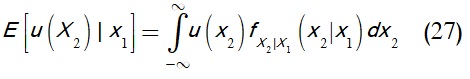
وإذا كان
دالة للمتغير العشوائي
؛ وإذا وجد التوقع الرياضي للدالة
عند
، فإنه يعطى بالعلاقة (27):
![]() |
وفي حال المتغيرات العشوائية المتقطعة يُستبدل المجموع بالتكامل.
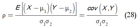
يستعاض عادة عن الرمزين X1 و X2 بالرمزين X وY. ويتركز الاهتمام غالباً على المتغيرات العشوائية المستمرة حيث إن الخواص تبقى نفسها في حالة المتغيرات العشوائية المتقطعة. كما يفترض للتبسيط وجود التوقع الرياضي. بفرض
متوسط القيم average value للمتغير X، و
متوسط القيم للمتغير Y، وأن
تباين X، و
تباين Y، وبفرض تغاير المتغيرين العشوائيين الذي يُرمز إليه بالرمز cov(X,Y) (وفي بعض الأحيان
)، فإذا كان للتباينين قيم موجبة؛ يعرّف معامل الارتباط (الترابط) correlation coefficient بالعلاقة (28):
|
ويُسمى توقع الجداء E(XY) بالارتباط؛ ويُرمز إليه بالرمز
ويعطى بالعلاقة (29):
يقال عن المتغيرين العشوائيين إنهما متعامدان إذا كان
. في حين يقال إن المتغيرين العشوائيين غير مرتبطين uncorrelated إذا تحقق الشرط cov(X,Y) = 0.
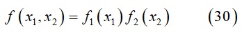
بفرض متغيرين عشوائيين لهما دالة كثافة احتمالPDFمشتركة
، ودالتي كثافة احتمال هامشيتين
و
؛ عندئذ يقال عن المتغيرين X1 و X2 إنهما مستقلان independent إذا تحققت العلاقة (30):
وفيما يخص المتغيرات العشوائية المتقطعة يكون تعريف الاستقلال اعتماداً على دالة كتلة الاحتمال PMF. ويمكن البرهان على أن المتغيرين العشوائيين يكونان مستقلين إذا وفقط إذا تحققت إحدى العلاقتين (31) و(32):
|
حيث F(.) هو دالة توزيع تراكمي CDF، وa وb وc وd ثوابت.
ويمكن التعبير عن الاستقلالية اعتماداً على التوقع الرياضي والدالة المولّدة للعزوم MGF. فبفرض متغيرين عشوائين X1وX2، وبفرض وجود التوقعين
، لكي يكون المتغيران X1 وX2 مستقلين يجب أن تتحقق العلاقة (33):
وتجدر الإشارة إلى أنه إذا كان المتغيران العشوائيان X وY مستقلين، ولهما توقعان
و
على الترتيب؛ فإن معامل الارتباط
بينهما يساوي الصفر اعتماداً على العلاقة (34):
كما يمكن إثبات أنه إذا كان المتغيران العشوائيان مستقلين فإن العلاقة (35) محققة، بشرط وجود الدالة المولّدة العزوم المشتركة
.
التمديد إلى متغيرات عشوائية متعددة
يمكن تمديد extension التعاريف والمفاهيم السابقة الخاصة بمتغيرين عشوائيين فقط لتشمل n متغيراً عشوائياً. بفرض
شعاعاً عشوائياً ذا nبُعداً والذي يرمز إليه بالرمز X، تُعرّف دالة توزيع تراكمي CDFمشترك بالعلاقة (36):
بفرض الشعاع العشوائي
، وبفرض
، وأن التوقع الرياضي للمتغير العشوائيY موجود، يعطى التوقع الرياضي في حالة متغيرات عشوائية مستمرة بالعلاقة (37):
|
في حين يعطى التوقع الرياضي في حالة متغيرات عشوائية متقطعة بالعلاقة (38):
ويمكن تعميم العلاقة (18) في حالة متغيرات عشوائية متعددة، لتصبح العلاقة (39):
![]() |
وذلك لكون E(.) مؤثراً operator خطياً.
الارتباط والتغاير والتحويل للأشعة العشوائية
يُعرف ارتباط الشعاع العشوائي X بالعلاقة (40):
حيث منقول الشعاع X، و RX مصفوفة أبعادها nxn، وX شعاع بعده n. أما عناصر المصفوفة RX فهي
، والتي تعطى بالعلاقة (41):
![]() |
كما أنه يمكن توصيف المتغير العشوائي الوحيد X كلياً بمعرفة المتوسط والتباين، فيمكن توصيف الشعاع Xبمعرفة شعاع القيمة الوسطى
ومصفوفة الارتباط RX.
وتُعرّف مصفوفة التغاير على أنها مصفوفة العزم الثاني المركزي central للشعاع العشوائي التي يعبر عنها بالعلاقة (42):
ويمكن أيضاً التعبير عنها بالعلاقة (43):
![]() |
وفيها
.
ثمة علاقة تربط بين مصفوفة الارتباط RX ومصفوفة التغاير CX، ويعبر عنها بالعلاقة (44):
على نحو مشابه نسبياً يمكن تعريف مصفوفة الارتباط التصالبي (التقاطعي) cross-correlation ومصفوفة التغاير التصالبي cross – covariance كما هو مبيّن بالعلاقة (45):
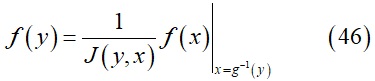
في كثير من التطبيقات العملية ثمة حاجة إلى تحديد متغير عشوائي بوساطة متغير عشوائي آخر، أي إجراء التحويل transformation من المتغير العشوائي X إلى المتغير العشوائي Y، حيث
. ومن أهم التحويلات التحويل القلوب (القابل للقلب) invertible وغير القلوب not invertible، وللتحويل القلوب تطبيقات عديدة.
بفرض الشعاعين العشوائيين X وY والعلاقة الدالية بينهما هي
حيث
، يمكن أن يكون التحويل غير خطي، ولكنه قلوب أي
، وتكون العلاقة (46) محققة:
![]() |
حيث J(y,x) معطاة بالعلاقة (47)، ويُطلق عليها اليعقوبية Jacobian:
![]() |
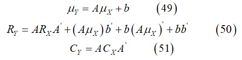
بفرض أن التحويل خطي من الشكل المعطى بالعلاقة (48):
حيث bشعاع بعده m وX شعاع بعده nبمتوسط
وارتباط RX وتغاير CX، وY شعاع بعدهm بمتوسط
وارتباط RY وتغاير
، و A مصفوفة أبعادها mxn؛ عندها تعطى علاقات تحويل العزوم بالعلاقات (49) و (50) و (51):
![]() |
ومن أشهر التوزيعات المتعددة المتغيرات التوزيع الغاوسي Gaussian distribution (أو التوزيع الطبيعي) الذي يعرّف بالعلاقة (52):
![]() |
حيث
شعاع التوقع الرياضي، وCX شعاع التغاير
. عملياً يُعرّف تابع التوزيع للمتغيرات المتعددة بالثنائية
.
تطبيقات التوزيعات المتعددة المتغيرات
تستعمل التوزيعات المتعددة المتغيرات لتحليل المنظومات المعقدة وفهم العلاقات بين المتغيرات في ميادين متنوعة مثل العلوم المالية والعلوم الاجتماعية والهندسة.
ففي العلوم المالية والمصرفية تستعمل التوزيعات المتعددة المتغيرات لاستمثال optimization محافظ الأوراق المالية، وإدارة المخاطر، والتثمين المشتق derivative pricing. أما في الهندسة فتستعمل لتحليل موثوقية المنظومات المعقدة، ومراقبة الجودة. وثمة تطبيقات مهمة في الهندسة الإنشائية لتحليل سلوك البنى من أجل حمولات وشروط متنوعة. وتستعمل التوزيعات المتعددة المتغيرات في العلوم الاجتماعية من أجل تحليل العلاقات بين متغيرات متعددة مثل الدخل والتعليم والمخرجات الصحية؛ مما يساعد على فهم التباين الاجتماعي والتوجهات المجتمعية، وكذلك في تحليل الدراسات الاستقصائية والديموغرافية. ومن مجالات التطبيق الأخرى: تعلّم الآلة، والعلوم البيئية، وعلوم الحياة، والعلوم الطبية، والهندسة الجيولوجية، وفي علم الأرصاد الجوية.
|
مراجع للاستزادة: - M. M. Ali, I. Ali, H. M. Yousof, M. I. M. Ahmed, G Families of Probability Distributions Theory and Practices, CRC Press, 2023. - C. A. Charalambides, Multivariate Discrete q-Distributions, Springer, 2024. - T. Pham-Gia, The Multivariate Normal Distribution: Theory and Applications, World Scientific Publishing, 2021. - K. T. Fang, H. Ye, Y. Zhou, Representative Points of Statistical Distributions, Chapman & Hall, 2025. - J. M. Horgan, Probability with R, Wiley, 2020.
|
- التصنيف : تقانات الفضاء والفلك - النوع : تقانات الفضاء والفلك - المجلد : المجلد العاشر، طبعة 2025، دمشق مشاركة :


















