استقطاب الضوء
استقطاب ضوء
Polarization light - Polarisation de la lumière
علاء الدين منيع
| تطوّر مفهوم استقطاب الضوء |
| استقطاب الضوء وفق النظريّة الكهرطيسيّة |
| الأدوات الفيزيائية الخاصة باستقطاب الضوء |
| تمثيل استقطاب الضوء رياضياتياً |
يعدّ مفهوم الاستقطاب في الضوء polarization in optics من أهم الخصائص التي يتمتع بها الضوء والأكثر جدلاً، نظراً لارتباطه الوثيق بتطور النموذج النظري الذي يفسّر سلوكه - نظريّة الضوء- من جهة ومن جهة ثانية ارتباطه بالخصائص الأخرى للضوء مثل الترابط والتداخل والانعراج وشكل سطح الموجة.
يمكن وفق هذا المفهوم تصنيف الضوء (أو المنابع الضوئيّة) إلى مُستقطَب polarized light أو مُستقطَب جُزئياً partially polarized light أو لا مُستقطَب unpolarized light.
جرى اكتشاف استقطاب الضوء فور اكتشاف ظاهرة الانكسار المُضاعف double refraction phenomenon في بلورة الكالسيت عام 1669 على يد إرسموس بارثولينوس E. Bartholinus، والذي تبعه عمل للعالم كريستيان هويغنز C. Huygens عام 1690 عن تفسير ظاهرة الانكسار المضاعف عبر نموذج الأمواج الأوليّة والثانويّة المُنتشرة ضمن البلورات، فقد لاحظ أنّ كلاً من هاتين الموجتين يمكن أن تنعدم بمجرد تدوير بلورة كالسيت ثانية أمام الأولى. وفي عام 1812 درس العالم دافيد بروستر David Brewster سلوك الضوء المُنعكس عن سطح الزجاج حيث اكتشف حينئذ وجود زاوية انعكاس؛ تسمى بزاوية بروستر Brewster angle، يكون عندها الضوء المُنعكس مُستقطباً كلياً. ومن ثمّ تبعه العمل المُميز للعالمين أوغوستين جان فرينل A. J. Fresnel ودومينيك فرانسوا أراغو D. F. Arago عام 1817 عن علاقة استقطاب الضوء بالتداخل عبر شقي يانغ، حيث تمّ حينها صياغة أربعة قوانين لوصف النتائج التجريبية تحت مُسمى قوانين التداخل لفرينل- أراغو interference laws of Fresnel and Arago، وهي التالية:
1. يمكن لموجتين مُستقطبتين (خطياً) في المستوي نفسه أن تتداخلا.
2. لا يمكن لموجتين مُستقطبتين (خطياً) في مستويين مُتعامدين أن تتداخلا.
3. لا يمكن لموجتين مُستقطبتين (خطياً) وناتجتين من مركبتين متعامدتين لمنبع غير مُستقطب أن تتداخلا حتى لو جُعلتا باستقطابين في المستوي نفسه.
4. يمكن لموجتين مُستقطبتين (خطياً) وناتجتين من مركبتين متعامدتين لمنبع مُستقطب أن تتداخلا عندما تصبحان باستقطابين في المستوي نفسه.
وقد قاما أيضاً بتفسير معظم هذه القوانين اعتماداً على النظريّة الموجيّة، ما عدا القانون الثالث الذي ظلّ غامضاً إلى أن تصدّى له العالم جورج غابريل ستوكس G. G. Stokes عام 1852 باستخدام مفهوم المقادير القابلة للمشاهدة (المرصودات observables)، حيث قام بتوصيف استقطاب الضوء عبر أربعة وسطاء، تُسمى وسطاء ستوكس Stokes parameters التي تتحدد مباشرة من قياس شدة الضوء تجريبياً باستخدام مقياس الطاقة أو الاستطاعة، بدلاً من اعتماد حقل اهتزاز الضوء أو مركبات الحقل الكهرطيسي التي لا يمكن قياسها تجريبياً على نحو مباشر؛ وهو الأسلوب الأكثر شيوعاً في معظم مراجع الضوء التقليديّة التي تعتمد على النظريّة الموجيّة أو النظريّة الكهرطيسية في وصف استقطاب الضوء. ثمّ غاب مفهوم المرصودات نحو القرن عن الساحة العلمية ليظهر ثانيةً على نحو عام في ميكانيك الكم quantum mechanics على يد العالم فرنر هايزينبرغ W. Heisenberg عام 1925 وخصوصاً في مجال الضوء على يد العالم إيميل وُلف E. Wolf عام 1954، عبر إدخال الضوء (البصريات) الإحصائي statistical optics.
يوضح مفهوم استقطاب الضوء عبر عرض تطوره الزمني والنظرية المُهيمنة آنَذاك كما يلي:
• الحقبة الأولى المُمتدة من بارثولينوس 1669 حتى ستوكس1852 : الاستقطاب هو خاصة هندسيّة للضوء، أي أخذ مفهوم الاستقطاب تعريفاً هندسياً اعتماداً على إنشاءات هويغنز الهندسية لتفسير ظاهرة الانكسار المضاعف باستخدام الأشعة الضوئيّة ray optics أو ضمن إطار ما يُسمى بالضوء الهندسي geometrical optics.
• الحِقبة الثانيّة المُمتدة من ستوكس 1852 حتى بوانكاره Poincaré (1892) hلاستقطاب هو خاصة كهرطيسيّة للضوءP حيث أصبح الاستقطاب يُمثّل بمنحى رأس شعاع الحقل الكهربائي ضمن إطار النظريّة الموجيّة للضوء عموماً wave theory of light، وضمن إطار نظريّة الحقل الكهرطيسي electromagnetic field theory خصوصاً. وهنا أيضاً تجب الإشارة إلى نشوء الرؤية الجسيميّة للضوء وتطورها من خلال تطور المطيافيّة الضوئيّة، والتي تقول إن الضوء مُكون من حبيبات، تسمى بالفوتونات photons تملك عزماً زاوياً ذاتياً يُسمى بالسبين spin، يمكن أن يأخذ قيمتين مختلفتين وهما
(موافقة لعزم دوراني
موجب أو استقطاب دوارني يساري) و
(موافقة لعزم دوارني
سالب أو استقطاب دوارني يميني). وفي هذه الحالة فإنّ استقطاب الضوء أو الحزمة الضوئيّة المكونة من مجموعة فوتونات يتحدد حسب المُحصلة الكلّيّة للسبينات، فإن كان هنالك عدد متساوٍ من السبينات المُوجبة والسالبة كانت المُحصلة الكلّيّة معدومة وكانت الحزمة الضوئيّة مُستقطبة خطياً، وإن كانت المُحصلة موجبة أو سالبة كانت الحزمة مُستقطبة بشكل دوراني يساري أو يميني، (الشكل1).
![]() |
| الشكل (1): أ)التمثيل الكهرطيسي الموجي للضوء ب) التمثيل الجسيمي الفوتوني للضوء |
• الحِقبة الثالثة المُمتدة من بوانكاره 1892 حتى وُلف1954 : الاستقطاب هو خاصة إحصائيّة للضوء تتعلق على نحو وثيق بترابط الضوء، وبالتالي نشأت النظريّة الإحصائية للضوء، والتي توحّد ما بين استقطاب الضوء وترابطه اعتماداً على السلوك الإحصائي للضوء الذي يُوصّف رياضياتيّاً بمصفوفة ترابط 2×2 في فضاء الزمكان والمُسماة بمصفوفة وُلف للترابط Wolf’s coherency matrix. وبطبيعة الحال فقد تمّ دمج الخواص الموجيّة والجسيميّة للضوء ضمن إطار واحد.
• الحِقبة الرابعة المُمتدة من وُلف 1954 حتى الآن: الاستقطاب هو خاصة هندسيّة تناظريّة جبريّة للضوء، وذلك بهدف مواجهة المشاكل الفيزيائيّة المُتعلقة بتغير حالة استقطاب الضوء من مُستقطب كلّي إلى لا مُستقطب بعد الانتثار المُتعدد multiple scattering على مجموعة أجسام ناثرة موزعة عشوائياً، وكذلك عند دراسة الشذوذ الضوئي optical singularities، وأيضاً عند حساب درجة الاستقطاب degree of polarization لحقل ضوئي كهرطيسي كيفي arbitrary electromagnetic field. ومازال المجال مفتوحاً أمام البحث العلمي سيُقتصر على استعمال مفهوم الاستقطاب المُتعلق بالحقبة الزمنية الثانية أيّ وفق نظريّة الحقل الكهرطيسي(الأكثر شيوعاً)، لتوضيح الأدوات الفيزيائيّة -العناصر الضوئيّة- والرياضياتيّة لمعالجة استقطاب الضوء.
استقطاب الضوء وفق النظريّة الكهرطيسيّة
اعتماداً على النظريّة الكهرطيسيّة فإن الضوء يُمثّل بحقلين مهتزين مترابطين الأول كهربائي
electric field والثاني مغنطيسي
magnetic field، ينتشران في الخلاء بسرعة ثابتة c0، ويُمثلان بشعاعين متعامدين ويقعان في مستوٍ واحد يعامد جهة الانتشار المُمثلة بالشعاع الموجي wave vector
، كما هو مُوضح في الشكل (1-أ).
يُنظر لاستقطاب الضوء على أنّه مُمَثلٌ بالمحل الهندسي المُتشكّل عبر تغير الزمن لرأس شعاع الحقل الكهربائي
في مستوٍ يعامد الانتشار، والمُشَاهد من قِبل مراقب خارجي، ويُوصف الضوء بأنه مُستقطب خطياً linear polarized light عندما يهتز الحقل الكهربائي ضمن مستوٍ واحد مُحدد يحوي الشعاع الموجي والمُسمى بمستوي الاستقطاب plane of polarization، وفي حال رسم رأس شعاع الحقل الكهربائي لدائرة يدور عليها باتجاهٍ واحدٍ كان الضوء إمّا مُستقطباً دائرياً يمينياً right circularly polarized light (RCPL) وإما يسارياً left circularly polarized light (LCPL) تبعاً لجهة دوران الحقل إلى جهة يمين المراقب أو يساره الذي يتلقى الحزمة الضوئية كما هو مُوضح في الشكل (2). ويكون الضوء المُستقطَب في الحالة العامة إما مُستقطباً إهليلجياً يمينياً right elliptically polarized light (REPL) وإما يسارياً left elliptically polarized light (LEPL). ويكون الضوء لامُستقطباً عندما يكون عشوائي المنحى أو الاتجاه.
![]() |
|
الشكل (2) التمثيل الكهرطيسي أ) ضوء مُستقطب خطياً ضمن مستوي الاستقطاب، ب) ضوء مُستقطب دائري يميني، د) ضوء مُستقطب دائري يساري. على الجهة اليمينيّة تمثيل الاستقطاب وفق منظور المُراقب (الموضع ثابت والزمن متغيّر) و على الجهة اليساريّة تمثيل الاستقطاب وفق النظرة الانتشاريّة (الموضع متغيّر والزمن ثابت). |
الأدوات الفيزيائيّة الخاصة باستقطاب الضوء
عموماً يمكن النظر إلى الحقل الكهربائي على أنّه شعاع يمكن تفريقه إلى مُركبتين مُتعامدتين، كما في الشكل (3)، غالباً ما يتحدد التفريق في البلورات وفق المحاور البلورية، وبالاعتماد على مفهوم المُركبتين يمكن تصنيف مواد استقطاب الضوء أو أدواته بحسب أثر هذه الأدوات في مطال كل من المُركبتين وفرق الطور بينهما على النحو التالي:
![]() |
| الشكل (3) مبدأ تفريق الحقل الكهربائي إلى مُركبتين ديكارتيتين مُتعامدتين |
• مُقطبات ضوئيّة soptical polarizer: هي أدوات تعمل على حذف مطال إحدى المُركبتين أو توهينها نسبةً إلى الأخرى بحيث تبقى مُركبة واحدة، فإن كانت المواد المُستخدمة تسمح بانتشار المُركبات الخطية سُمِّي العنصر بالمُقطب الخطّي linear polarizer، وإن كانت المواد خاصة بالمُركبات الدورانية سُمي العنصر بمقطب دوراني circular polarizer. إذن تسمح هذه العناصر بالحصول على ضوء مُستقطب خطي أو دوراني.
• مُؤخرات ضوئيّة optical retarders: هي أدوات تعمل على إدخال فرق بالطور (تأخير زمني) بين المُركبتين المُنتشرتين في المادة. تسمح هذه العناصر على نحو عام بتحويل حالة الاستقطاب مثل صفيحة ربع طول الموجة quarter-wave plate التي تقوم بتحويل الاستقطاب الخطي إلى دوراني، والعكس صحيح أيضاً.
• مُدورات ضوئيّة optical rotators: هي أدوات تعمل على تدوير مستوي الاستقطاب مثل مُدور فارادي Faraday rotator الذي يُستخدم بكثرة في العوازل الضوئيّة optical isolators.
• لامُقطبات ضوئيّة optical depolarizers: هي أدوات تسمح بتحويل الضوء المُستقطب إلى مُستقطب جزئياً أو لامُستقطب بدرجة عالية عبر كسر ارتباط المُركبتين المُنتشرتين في المادة المُستخدمة، وهي تُستعمل عادةً في إزالة حساسيّة بعض الأجهزة الضوئيّة للضوء المُستقطب مثل آلات التصوير.
تمثيل استقطاب الضوء رياضياتياً
نظراً لأهمية استقطاب الضوء واتساع تطبيقاته وتنوعها، كان لابد من تطوير أدوات أو أساليب رياضياتيّة خاصة لحل المسائل الضوئيّة بسهولة ويُسر. فقد تم استثمار مفهوم الأشعة الجبريّة لتمثيل حالة استقطاب الضوء والمصفوفات الجبريّة لتمثيل أثر العناصر أو الأدوات الفيزيائيّة على حالة الضوء. إذ توجد طريقة أشعة ومصفوفات جونز Jones vectors and matrices نسبةً إلى العالم روبرت كلارك جونز R. C. Jones وطريقة أشعة ستوكس Stokes vectors ومصفوفات مولر Mueller matrices نسبةً إلى العالم هانس مولر H. Mueller.
1 - تمثيل استقطاب الضوء بشعاع جونز ومصفوفته
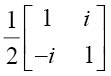
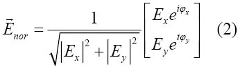
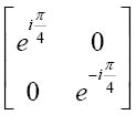
هي أشعة ذات مُركّبتين عُقديتين تمثلان مطال كل من المُركبتين الديكارتيتين للحقل الكهربائي وطورهما، والتي يتمّ استنتاجها باستخدام المعادلة (1):

فعندها يُمكن وضع شعاع جونز على شكل مصفوفة، بعد استبعاد معامل الانتشار
الذي يُعبّر عن موجة كهرطيسيّة مستويّة منتشرة باتجاه المحور z بسرعة طوريّة
وتهتز بتردّد
، كما في المعادلة (2):

حيث يمثّل المضروب
معامل استنظام
شعاع جونز، ويتضمن الجدول (1) أشعة جونز المُمثلة لبعض الحالات الاستقطابيّة الأكثر شيوعاً.
|
||||||||||||||||||||||||
أمّا مصفوفة جونز فهي مصفوفة عُقدية ذات بُعدين 2×2 تمثل تحوّل حالة الضوء المُمثلة بشعاع جونز قبل
و بعد
المرور من خلال العنصر الضوئي
المُمثل بدوره بمصفوفة التحويل
،
وذلك كما في المعادلة (3):

يتضمن الجدول (2) أيضاً مصفوفة جونز المُمثلة لبعض العناصر الضوئيّة الشائعة. وعندها بكل بساطة يتمّ تحديد حالة استقطاب الضوء بعد عبوره من خلال مجموعة العناصر الضوئيّة على الترتيب A1 ثمّ A2 ثمّ A3 ...، المُمثلة بالمصفوفات J1 وJ2 وJ3 ...، وفق قواعد جبر المصفوفات (المعادلة 4):

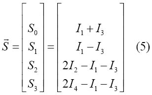
2 - تمثيل استقطاب الضوء بشعاع ستوكس ومصفوفة مولر
هي أشعة ذات أربع مركبات حقيقيّة تمثل وسطاء ستوكس الأربعة S0، S1، S2 ، S يمكن استنتاجها تجريبياً عبر إجراء أربعة قياسات مختلفة لشدّة الضوء I1، I2، I3 ، I4 باستخدام عنصر مُقطب وآخر مُؤخّر بمقدار ربع طول الموجة، كما في الشكل(4)، فتقاس الشدّات الثلاث الأولى I1، I2، I3 في حالة إقحام المُقطب الخطّي على مسار الضوء نحو مقياس الاستطاعة بوضعيّة يكون فيه محور تمريره (م.ت.) أُفقياً ثمّ مائلاً بزاوية 45° ثمّ شاقولياً،
وأمّا الشدّة I4 فتقاس بعد إقحام صفيحة ربع طول الموجة بمحورها السريع (م.س.) مائلاً بزاوية 45° ومن ثمّ يوضع المُقطب مائلاً أيضاً بزاوية 45°.
![]() |
| الشكل (4) أسلوب قياس الشدات الأربع للضوء الوارد I1، I2، I3 ، I4 لتحديد مُعاملات ستوكس. |
وعند اكتمال القياسات يُمكن كتابة شعاع ستوكس على الشكل التالي: المعادلة (5).

يستنظم شعاع ستوكس بالقسمة على المعامل S0 الذي يدلّ على الطاقة أو الاستطاعة الكلّيّة لحزمة الضوء الواردة. يتضمن الجدول (1) أشعة ستوكس المُستنظمة المُمثلة لبعض الحالات الاستقطابيّة الأكثر شيوعاً. أمّا بالنسبة إلى مصفوفة مولر m فهي مصفوفة حقيقيّة ذات بُعدين 4×4 تُمثّل تحول حالة الضوء المُمثلة بشعاع ستوكس قبل المرور من خلال العنصر الضوئي
وبعد خروجه منه
، وعليه فإنّ حالة الضوء تتحدد بالعلاقة (6):

وكذلك يحوي الجدول (2) مصفوفة مولر المُمثلة لبعض أهم العناصر الضوئيّة الشائعة.
|
||||||||||||||||||||||||||||||
وبالتالي يتمّ تحديد حالة استقطاب الضوء الناتج بعد عبوره من خلال مجموعة العناصر الضوئيّة على الترتيب A1 ثمّ A2 ثمّ A3 ...، المُمثلة بالمصفوفات m1 وm2 وm3 ...، وفق قواعد جبر المصفوفات كما في المعادلة (7).

3 - المُقارنة بين طريقتي جونز و ستوكس-مولر لتوصيف استقطاب الضوء
بالاستفادة من الجدولين(1) و(2) يلاحظ أنّ كلتا الطريقتين متكافئتان من الناحيّة الحسابيّة، بسبب تساوي عدد مكونات كل من شعاع جونز وستوكس، وتُساوي أربعة (نظراً لكون الأعداد العُقديّة تمتلك مركبتين الأولى حقيقية والأخرى تخيّلية). ويُلاحظ أنّ أسلوب ستوكس- مولر يتمتع بسهولة الحساب لاستخدامه الأعداد الحقيقيّة فقط. أمّا من الناحية الفيزيائيّة فإن أسلوب ستوكس- مولر يتفوق بقدرته على توصيف حالة الضوء المُستقطب جُزئياً والضوء اللامُستقطب، إذ يُمكّن من دراسة حالات تحول الضوء من مُستقطب إلى مُستقطب جُزئياً كما في حالة انتثار الضوء، وهو ما يجعله الأكثر استعمالاً في مطيافيّة استقطابيّة ستوكس Stokes polarimetry أو في تقنيّة المطيافيّة الإهليلجيّة ellipsometry. وأخيراً إنّ ما يُدعّم أسلوب ستوكس-مولر كثيراً هو وجود تمثيل هندسي مُتقدم مبني على ما يُسمى كرة بوانكاره Poincaré sphere لمُراقبة تطور حالة استقطاب الضوء عند عبوره جملة ضوئية مُعقدة ذات عدد عناصر كبير، كما يظهر في الشكل (5).
|
|
|
الشكل (5) التمثيل الهندسي لمُعاملات ستوكس وفق كُرة بوانكاره |
|
مراجع للاستزادة − M. Born and E. Wolf, Principles of Optics, Cambridge, 2002. − D. Goldstein, Polarized Light, Marcel Dekker, New York, 2003. − E. Hecht, Optics, Addison Wesley, San Francisco, 2002. − S. Huard, Polarisation de Lumière, Masson, Paris, 1994. − J.-P. PÉREZ, Optique, Masson, Paris, 1996. − E. Wolf, Progress in Optics, Volume 49, Elsevier, Amsterdam, 2006. |
- التصنيف : الضوء والأطياف - النوع : الضوء والأطياف - المجلد : المجلد الثاني، طبعة 2016، دمشق مشاركة :


































